Java 程序:计算二次方程所有根
原文:https://www.studytonight.com/java-programs/java-programs-to-find-all-roots-of-a-quadritic-equation
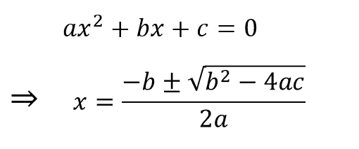
如果一个方程的形式是 ax2+bx+c=0 ,其中 a、b、c 是实数,a 不等于 0,那么这个方程被称为二次方程。方程的标准形式和计算公式如下:

一个二次方程有两个根,这两个根取决于判别式。在上式中,sqrt((bb)-(4a*c))被称为判别式。
- 如果判别式是正的,那么根是实的,不相等的。
- 如果判别式为 0,那么根是实的且相等的。
- 如果判别式是负的,那么根是不相等的,是虚的。
在这里,我们得到一个二次方程,我们的任务是找到这个方程的根。例如,
输入: 1 -2 1
输出: 1 1
程序 1:求二次方程
在这个程序中,二次方程的根是在主方法本身中找到的。
算法:
- 开始
- 声明变量 a,b,c。
- 初始化变量 a,b,c。
- 用主方法本身计算二次方程的根。
- 使用条件 a==0 检查根是否可能。
- 计算判别式为判别式= sqrt((bb)-(4a*c))。
- 如果判别式。> 0,那么根是真实的,不相等的。
- 求根为(-b+判别式)/(2 a)和(-b -判别式)/(2 a)。
- 如果判别式=0,那么根是实的和相等的。
- 求根为(-b +判别式)/( 2*a)。
- 如果判别式> 0,那么根是复杂且不同的。
- 将根计算为(-b/(2a)) + iD 和(-b/(2a)) - iD。
- 显示根。
- 停止
下面是相同的代码。
在这个例子中,我们将直接找到二次方程的根。首先,二次方程的系数被声明和初始化。然后我们直接在主方法本身找到二次方程的根。
//Java Program to find the roots of the quadratic equation
import java.util.Scanner;
public class QuadraticEquation
{
public static void main(String []args)
{
Scanner sc=new Scanner(System.in);
double a,b,c; //Quadratic Variables declaration
System.out.println("Enter the value of a..");
a=sc.nextDouble(); //Quadratic Variables Initialization
System.out.println("Enter the value of b..");
b=sc.nextDouble(); //Quadratic Variables Initialization
System.out.println("Enter the value of c..");
c=sc.nextDouble(); //Quadratic Variables Initialization
double d=(b*b)-(4*a*c); //Find the determinant
double D= Math.sqrt(d);
double r=2*a;
//Check for Roots
if(D>0)
{
System.out.println("Roots are real and unequal");
double root1=(D-b)/r;
double root2=(-D-b)/r;
System.out.println("Roots are..");
System.out.println(root1);
System.out.println(root2);
}
else if(D==0)
{
System.out.println("The roots of the quadratic equation are real and equal.");
double root=(-b)/r;
System.out.println("Root is "+root);
}
else
{
System.out.println("The roots of the quadratic equation are complex and different");
System.out.println("Roots are ");
System.out.println((-b/r)+" +i" + D);
System.out.println((-b/r)+" -i" + D);
}
}
}
输入的值..15 输入 b 的值..68 输入 c 的值..3 根真实不平等 根真实不平等.. -0.044555558333472335 -4。58865 . 88888888666
程序 2:求二次方程
在这种方法中,用函数求出二次方程的根。
算法
- 开始
- 声明变量 a,b,c。
- 初始化变量 a,b,c。
- 调用一个函数来计算二次方程的根。
- 使用条件 a==0 检查根是否可能。
- 计算判别式为判别式= sqrt((bb)-(4a*c))
- 如果判别式。> 0,那么根是真实的,不相等的。
- 求根为(-b+判别式)/(2 a)和(-b -判别式)/(2 a)。
- 如果判别式=0,那么根是实的和相等的。
- 求根为(-b +判别式)/( 2*a)
- 如果判别式> 0,那么根是复杂且不同的。
- 将根计算为(-b/(2a)) + iD 和(-b/(2a)) - iD
- 显示根。
- 停止
下面是相同的代码。
在这个例子中,我们将使用方法来寻找二次方程的根。首先,二次方程的系数被声明和初始化。然后调用一个函数来求二次方程的根。
//Java Program to find the roots of quadratic equation using Functions
import java.util.Scanner;
import static java.lang.Math.*;
public class QuadraticEquation
{
public static void main(String []args)
{
Scanner sc=new Scanner(System.in);
int a,b,c; //Quadratic Variables Declaration
System.out.println("Enter the value of a..");
a=sc.nextInt(); //Quadratic Variables Initialization
System.out.println("Enter the value of b..");
b=sc.nextInt(); //Quadratic Variables Initialization
System.out.println("Enter the value of c..");
c=sc.nextInt();; //Quadratic Variables Initialization
quadraticRoots(a,b,c); //Function Call
}
static void quadraticRoots(int a,int b,int c)
{
//Check whether roots are possible or not
if (a == 0)
{
System.out.println("The value of a cannot be 0.");
return;
}
//calculating discriminant (d)
int d = b * b - 4 * a * c;
double D = sqrt(abs(d));
if (d > 0)
{
System.out.println("The roots of the equation are real and different. \n");
System.out.println((double)(-b + D) / (2 * a) + "\n"+ (double)(-b - D) / (2 * a));
}
else if (d == 0)
{
System.out.println("The roots of the equation are real and same. \n");
System.out.println(-(double)b / (2 * a) + "\n"+ -(double)b / (2 * a));
}
// executes if d < 0
else
{
System.out.println("The roots of the equation are complex and different. \n");
System.out.println(-(double)b / (2 * a) + " + i"+ D + "\n"+ -(double)b / (2 * a)+ " - i" + D);
}
}
}
输入的值..7 输入 b 的值..7 输入 c 的值..7 方程的根复杂且不同。
-0.5+i12.12435565298214 -0.5-i12 . 53961 . 53963943106